OBERDORFER

Magneettivetoiset haponkestävät hammaspyöräpumput

Chemsteel-sarja

Pumppu soveltuu erinomaisesti sekä korkea- että matalaviskoottisille aineille, mutta myös voitelemattomille aineille.
  • Max. noin 91 l/min, max. 7 bar
  • Itseimevä, pulsaatiovapaa
  • Sekä korkea- että matalaviskoottisille aineille
  • Soveltuu voitelemattomille aineille, sekä aggressiivisille kemikaaleille

Valitse tuote

Valitse tuote

Valitse tuote

Tekniset tiedot

Akselin materiaali SS 316
Kannen materiaali SS 316
Laakerin materiaali Grafiitti
Liitäntä BSPT 1/4"
Max. imukorkeus 5 m
Max. käyttölämpötila 90 °C
Max. paine 7 bar
Min. käyttölämpötila -40 °C
O-renkaan materiaali FEP
Paino 5,9 kg
Pumpun materiaali SS 316
Vaihdepyörän materiaali PEEK
Virtaus 1,8 l/min
Viskositeetti 10000 cSt

Tuotekuvaus

Oberdorferin itseimevällä Chemsteel hammaspyöräpumpulla on erittäin hyvä paineentuottokyky, sekä pulsaatiosta vapaa virtaus. Pumppu soveltuu erinomaisesti sekä korkea- että matalaviskoottisille aineille, mutta myös voitelemattomille aineille. Pumppuja on saatavana eri maateriaalivalinnoilla, jonka ansiosta ne soveltuvatkin useimmille kemikaaleille. Pumppujen pyörimissuunta on käännettävissä ja ne tuottavat täyden kapasiteetin kumpaankin pyörimissuuntaan.

 

RM-pumppujen toimintaperiaate

 

Hammaspyöräpumppu soveltuu veden, öljyn, liuottimien, rasvanpoistoaineiden, liiman, maalin, melassin, meriveden, happamien ja emäksisten aineiden, alkoholin, öljyjen yms. pumppaukseen.

 

Hammaspyöräpumppu hammaspyörät

 

 

Tekniset tiedot

Yleistä


Oheinen taulukko kuvaa uuden hammaspyöräpumpun arvoja erilaisilla variaatioarvoilla. Pumput säädetään erilaisiin olosuhteisiin sopiviksi, jolloin otetaan huomioon mm. käyttölämpötila, haluttu virtausmäärä ja viskositeetti.

Pumpun koko

Virtaus
1 425 rpm
@1cSt
(l/min)

Vastapaine
max.
(bar)

Käyttö-

lämpötila
max.
(°C)

Viskositeetti
max.
(cSt)

Imunosto-

korkeus
max.
(mvp)

Liitäntä
(BSPT)

Paino
(kg)

RM102

1,8

Kaikki mallit
Hammaspyöräyhdistelmä;
Muovi/Muovi 5
Metalli/Muovi 7
Metalli/Metalli 7

-40...+90

10 000

5

R1/4"

5,9

RM103

4,5

-40...+90

10 000

5

R1/4"

5,9

RM104

6,5

-40...+90

10 000

5

R1/2"

5,9

RM106

8,7

-40...+90

10 000

5

R1/2"

5,9

SM207

13,5

-40...+90

10 000

5

R1/2"

12,7

SM210

19

-40...+90

10 000

5

R1/2"

12,7

SM214

26

-40...+90

10 000

5

R1/2"

12,7

SM417

34

-40...+90

10 000

5

R3/4"

15,9

SM923

46

-40...+90

10 000

5

R1 1/2"

15,9

SM930

60

-40...+90

10 000

5

R1 1/2"

22,7

SM935

69

-40...+90

10 000

5

R1 1/2"

22,7

SM946

91

-40...+90

10 000

5

R1 1/2"

22,7


Saatavilla olevat materiaalit 

Katso tarkemmat tiedot "Tilausnumerot"-otsikon alta!

Pumpun koko

Pumppupesä,
a
kselit

Hammaspyörä

Laakeri

O-renkaat

Akselitiiviste

RM102

SS316 , Hastelloy

SS316, PTFE, PEEK
Alloy-C, W88

Grafiitti, PTFE, Rulon

Silikonia, FEP-vaipalla

Magneettikytkin

(ei tiivistettä)

RM103 - SM946

SS316 , Alloy-C

SS316, PTFE, PEEK
Ryton, Alloy-C, W88

Grafiitti, PTFE, Rulon

Silikonia, FEP-vaipalla

Magneettikytkin

(ei tiivistettä)

 

 

Manuaalit, mitat

Katso manuaalit oheisille pumpuille "Download"-otsikon alta!

RM102, RM103, RM104

RM106, SM207, SM210

SM214, SM417, SM923

SM930, SM935, SM946

 

 

 

 

 

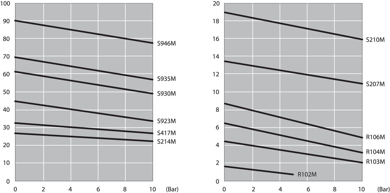
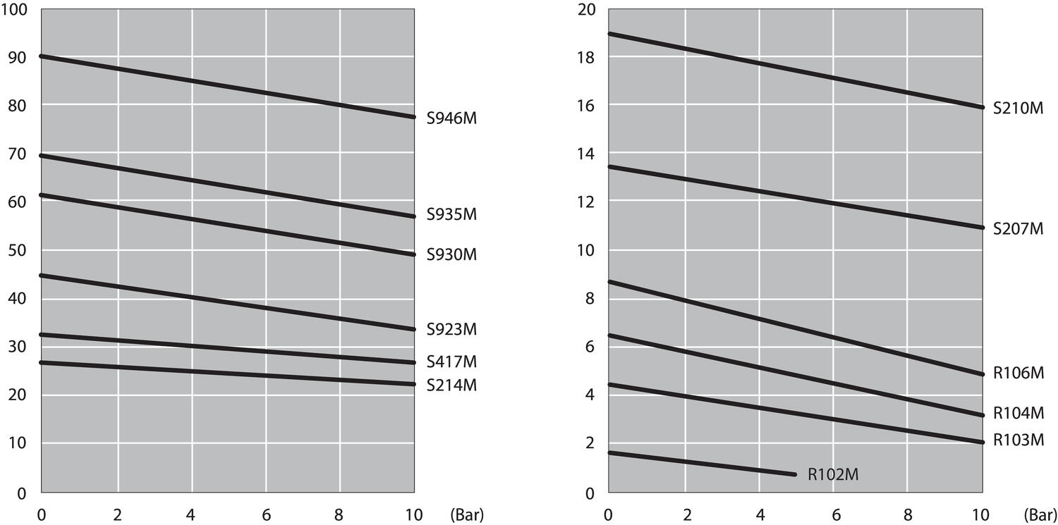
Virtauskäyrät

Eri mallien tarkemmat tyyppikohtaiset virtauskäyrät löytyvät "Download"-otsikon alta!

Hammaspyöräpumppu diagrammi

Kaavion arvot:

1 l/min & 1 425 rpm, veden lämpötila 20 °C .

 

 

Tilausnumerot

Standardimallisten magneettikytkimellisten ja tiivisteettömien pumppujen rungot ovat materiaalia SS316 ja hammaspyörät PEEK:iä.

 

Pumppuja on myös saatavina monella muulla materiaalilla pumpattavan aineen ja käyttöolosuhteiden mukaan.
Koodiavain kaikille saatavissa oleville materiaali- ja asennusvaihtoehdoille löytyy "Download"-osion alta.

 

Tilausnumero

Virtaus
max.
(l/min)

Materiaali

pesä / akseli

Materiaali,

hammaspyörä

Materiaali,
laakeri

Magneettityyppi

Liitäntä
(BSPT)

Moottorityyppi

RM10212CWM3B

1,8

SS316 / SS316

PEEK / PEEK

Grafiitti

Samarium koboltti

R1/4"

IEC71 B3/B14

RM10312CWM3B

4,5

SS316 / SS316

PEEK / PEEK

Grafiitti

Samarium koboltti

R1/4"

IEC71 B3/B14

RM10412CWM3B

6,5

SS316 / SS316

PEEK / PEEK

Grafiitti

Samarium koboltti

R1/2"

IEC71 B3/B14

RM10612CWM3B

8,7

SS316 / SS316

PEEK / PEEK

Grafiitti

Samarium koboltti

R1/2"

IEC71 B3/B14

SM20712CWM4B

1,5

SS316 / SS316

PEEK / PEEK

Grafiitti

Samarium koboltti

R1/2"

IEC80 B3/B14

SM21012CWM4B

19

SS316 / SS316

PEEK / PEEK

Grafiitti

Samarium koboltti

R1/2"

IEC80 B3/B14

SM21412CWM4B

26

SS316 / SS316

PEEK / PEEK

Grafiitti

Samarium koboltti

R1/2"

IEC80 B3/B14

SM41712CWM5B

34

SS316 / SS316

PEEK / PEEK

Grafiitti

Samarium koboltti

R3/4"

IEC90 B3/B14

SM92312CWM5B

46

SS316 / SS316

PEEK / PEEK

Grafiitti

Samarium koboltti

R1 1/2"

IEC90 B3/B14

SM93012CWM7B

60

SS316 / SS316

PEEK / PEEK

Grafiitti

Samarium koboltti

R1 1/2"

IEC100 B3/B14

SM93512CWM7B

69

SS316 / SS316

PEEK / PEEK

Grafiitti

Samarium koboltti

R1 1/2"

IEC100 B3/B14

SM94612CWM7B

91

SS316 / SS316

PEEK / PEEK

Grafiitti

Samarium koboltti

R1 1/2"

IEC100 B3/B14


Ylläolevan taulukon virtausluvut koskevat vedenkaltaisia aineita vapaassa virtauksessa 1 425 rpm:llä.

Mikäli käyttölämpötila on yli +60 °C, tai viskositeetti ylittää "Teknisissä tiedoissa" olevan taulukkoarvon (1o ooo cSt)- ota yhteyttä OEM Automaticin pumppumyyjään!



Moottoriadapterit

Adapterikoodi

Moottorityyppi

Pumpun koko

Tilausnumero,

moottori

Teho
(kW)

M3

IEC71 B3/B14

RM1xx / SM2xx


71-4(3)0.37KW

0,25
0,37

M4

IEC80 B3/B14

RM1xx / SM2xx / SM4xx


80-4(5)0.75KW

0,55
0,75

M5

IEC90 B3/B14

SM2xx / SM4xx / SM9xx


90-4 (4) 1.5KW

1,1
1,5

M7

IEC100 B3/B14

SM9xx

100-4(1) IE2

2,2
3

 

 

Varaosat

Varaosat toimitetaan pyynnöstä. Ota yhteyttä OEM Automaticin asiakaspalveluun. 

Download

Datasivut Chemsteel

Pumpputyyppi

Kuvaus

Tiedostotyyppi

 

RM102

Datasivut

pdf

Avaa

RM103

Datasivut

pdf

Avaa

RM104

Datasivut

pdf

Avaa

RM106

Datasivut

pdf

Avaa

SM207

Datasivut

pdf

Avaa

SM210

Datasivut

pdf

Avaa

SM214

Datasivut

pdf

Avaa

SM417

Datasivut

pdf

Avaa

SM923

Datasivut

pdf

Avaa

SM930

Datasivut

pdf

Avaa

SM935

Datasivut

pdf

Avaa

SM946

Datasivut

pdf

Avaa


Manuaali Chemsteel

Pumpputyyppi

Kuvaus

Tiedostotyyppi

 

Magneettivetoiset
hammaspyöräpumput Chemsteel

Manuaali

pdf

Avaa


Pumput - valintaopas

Kuvaus

Tiedostotyyppi

 

Valintaopas Chemsteel

pdf

Avaa


Pumput - koodiavain
Sis. saatavilla olevien pumppujen materiaalivaihtoehdot

Kuvaus

Tiedostotyyppi

 

Koodiavain Chemsteel

pdf

Avaa

 

 

Tarvikkeet



Äänitiedostot

Lisää luettavaa

Suosikit Tilausnumero: Liitäntä Paino Virtaus Hinta
BSPT 1/4"
5,9 kg
1,8 l/min
BSPT 1/4"
5,9 kg
4,5 l/min
BSPT 1/2"
5,9 kg
6,5 l/min
BSPT 1/2"
5,9 kg
8,7 l/min
BSPT 1/2"
12,7 kg
13,5 l/min
BSPT 1/2"
12,7 kg
19 l/min
BSPT 1/2"
12,7 kg
26 l/min
BSPT 3/4"
15,9 kg
34 l/min
BSPT 1 1/2"
15,9 kg
46 l/min
BSPT 1 1/2"
22,7 kg
60 l/min
BSPT 1 1/2"
22,7 kg
69 l/min
BSPT 1 1/2"
22,7 kg
91 l/min

Valittu tuote

Valitse tuote listalta.

Teknisiä neuvoja

Jonne Kaarela

Tuotepäällikkö

Asiakaspalvelu
Asiakaspalvelumme vastaa kysymyksiin ja etsii ratkaisut ongelmiin. Heille voit jättää myös tilauksesi.
FAQ
+ Miten tullaan asiakkaaksenne?
+ Olen sopinut puskurivarastosta, voinko tilata verkkokaupan kautta?
+ Voiko samalla tilillä olla useita käyttäjiä?
+ Voiko samassa tilauksessa olla useampia toimituspäiviä?
+ Voiko tilauksen toimittaa väliaikaiseen toimitusosoitteeseen?
Chatti
Tarvitsetko apua?
Logo

Evästeet oem.fi sivustolla

Evästeiden avulla voimme palvella sinua paremmin ja varmistamme sivuston sujuvan toiminnan. Voit hallinnoida evästeasetuksia koska tahansa.

Toiminnalliset evästeet

Nämä evästeet ovat välttämättömiä verkkosivuston toimimiseksi, eikä niitä voi poistaa käytöstä järjestelmissämme. Niitä käytetään yleensä vain vastauksena toimiin, jotka olet tehnyt palvelupyynnön yhteydessä, esimerkiksi henkilökohtaisten asetusten määrittämisen, kirjautumisen tai lomakkeen täyttämisen yhteydessä.

Tilastolliset evästeet

Tilastollisten evästeiden avulla seuraamme verkkosivustomme kävijöiden toimintaa ja teemme analyyseja, joiden avulla voimme optimoida verkkosivustoamme. Tämä tarkoittaa, että voimme kehittää sivustoamme toimivammaksi ja palvelemaan kävijöitä paremmin. Jos et hyväksy näitä evästeitä, emme tiedä, milloin olet käynyt sivustollamme. Voit kuitenkin käyttää sivustoamme normaalisti.

Markkinointievästeet

Markkinointievästeiden avulla voimme kohdentaa sinulle mainoksia eri verkkosivustoilla tai sisältöä sosiaalisessa mediassa. Näitä evästeitä asettavat kolmannen osapuolen mainonta- ja kohdistustyökalut. Evästeiden kautta nämä toimijat voivat muodostaa profiilin kiinnostuksesi kohteista. Jos et hyväksy näitä evästeitä, et näe kohdennettua markkinointia etkä mahdollisesti voi käyttää sosiaalisen median jakotyökaluja.